1.放電現象
スイッチを入れたとき回路の中でどのように電流が流れるかを考えます。たとえば電池と豆電球がつながれた単純な回路とします。
この回路にスイッチをつけ、このスイッチのオン・オフで電球をつけたり消したりします。スイッチを入れると電池から電流が流れ電球が点灯するのですが、非常に短い時間を考えたとき電流がどこから流れはじめるかという問題です。
答えを言いますと、スイッチの両端から電流が流れはじめ回路の電線を伝わり豆電球や電池に達しその後定常な電流になります。
スイッチを入れたという情報は光より速く伝わることができないので電池の両極から流れはじめることはできません。
スイッチを入れる前はスイッチの両側で電位が異なっておりスイッチが入る直前にスイッチ内の導体の接触面で放電が起こりこの影響がまわりに広がっていくのです。この影響が伝わる先端では、今まで電流が流れていなかったところに急に電流が流れ込んでくるか、または流れ出していくのですから電流の保存則は成り立ちません。
どのようになっているのでしょうか。この様なことは放電現象のさい常におこることです。わたしたちが良く知っている放電現象は、落雷です。そこで今回は雷の放電について調べてみたいと思います。
2.雷のモデル化
実際の落雷は地形や空気の湿度、気圧などによって左右される非常に複雑な現象なのでそのまま扱うことはできません。
そこで次のように理想化します。
雲と大地は一定の高さを保ち無限に広がっているものとします。大地表面をxy面とする座標系を考え、雲を平面z = hより上に存在するとし、大地および雲は電気の良導体とします。
最初に雲である導体に正電荷が帯電し、大地はグランドであるとすれば雲と大地間にはz方向の電場が発生します。
次に座標 x = y = 0において放電が起こり雲から大地に向かって大きさIcの電流が流れたとします。これは過渡的な現象ですが、まずは定常な場合を考えます。
定常電流は磁場を作るので、この磁場がどのように分布するかを考えます。ここで話を簡単にするために雲と大地を完全導体とします。
この仮定は乱暴なように思われますが、考えている系の大きさに比べて電流の流れる表皮層の厚さが十分薄ければよい近似となります。
このとき大地表面 z = 0と雲の下面 z = hにおいて磁場のz成分ゼロとなる境界条件が適用できますから磁場分布はz座標に依存しない2次元分布、
となります。円筒座標でかけば、
です。このような磁場があると導体表面には面電流、
が流れます。ただし導体表面に外側に向かう単位法線ベクトルをnとしました。これより雲の下面と大地表面にはそれぞれ、
の面電流が流れることになります。これらの電流を周長で積分してやれば雲表面ではx = y = 0に向かい、大地では原点から広がる大きさIcの電流があるので落雷電流とあわせて電流の連続条件が満たされていることが分かります。
定常な現象の扱いはこのように簡単ですが、過渡現象を考えるためには次に示すように電磁場の方程式を直接扱う必要があります。
3.電磁場の方程式
ここで電場磁場を直接扱うかわりに、次に示します電磁ポテンシャルを導入します。
ローレンツゲージ、
をとれば真空中のマックスウェルの方程式は次のようになります。
ここに電流密度J 、電荷密度ρです。
雲と大地の間では電流は落雷によるz成分しかないので、
でありこの領域における電磁場を次のように2次元として取り扱うことができます。
これより、(3−3)式は次のようにかけます。
これで電磁場の方程式が求まったので次のこの方程式を解くことにします。
4.電磁場の方程式の解法
電磁場の方程式を解くために次の方程式を満たすグリーン関数を導入します。
ここにδ(x – x’) はディラックのデルタ関数であり任意の関数f(x)に対して、
として定義されています。まず、
とフーリエ変換して(4−1)に代入すると、左辺は、
となり、右辺は、
であることを使うと、
となるので次式が成立します。
さらに、空間に対してもフーリエ変換をして、
を(4−5)式に代入すれば次のようになります。
これより、
とおけば、

となります。
ここで、点(x’,y’)から点(x,y)に向かうベクトルをr、波数ベクトル(kx,ky)をk、これらの絶対値をr 、kとかき、これらのベクトルのなす角θとすれば上式は次のようにかけます。
座標系のx軸をベクトルr方向にとれば上の積分を円筒座標に変換して、
とかけます。ここでゼロ次のベッセル関数、
を使うと上の式は次のようになります。
この式を(4−3)式に代入すれば、
となります。この積分はω = ±ckに極を持つので、極の下を通る積分路をとりコーシーの積分公式を使うと次のようになります。
この積分を実行すると次のようにグリーン関数が求まります。
(1)c (t – t’) > rの場合
(2)c (t – t’) < rの場合
ただし、
これより(3−7)式の解は次のように表されます。
これで電磁場の方程式の解が求まったので次に具体的な電流分布に関する応答を考察します。
5.落雷時の電磁場の変化と電流分布
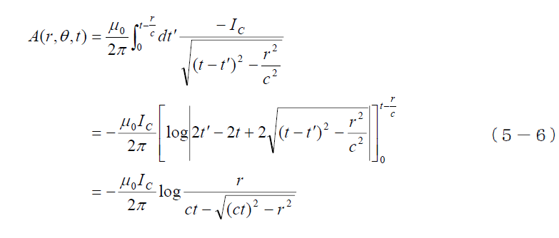
ここでは電流がz軸上に局在しているので次のようにかけます。
これを(4−15)式に代入すると、
となります。円筒座標系でかくと、
です。電流が時刻ゼロで突然流れ出しその後一定となったとすれば、ヘヴィサイドの階段関数、
を使って次のように表されます。
(5−3)式の時間積分の範囲は、
より、
であることに注意すれば、
です。これより求めるベクトルポテンシャルは次のようになります。
また磁束密度の周方向成分は、
磁場は、
となります。
ここで、電流からの距離rを固定して考えると、
ではベクトルポテンシャルも磁場も(4−14)よりゼロです。次に、
において、(5−6)式よりベクトルポテンシャルはゼロですが、(5−8)式より磁場は発散します。さらに、
では磁場は急速に小さくなり、
で、
となるので磁場は、
となります。これは定常計算で計算した(2−2)式と同じ式です。
一方、時刻tを固定して距離rによる変化をみると、中心から、
においては(5−10)式のように定常な磁場分布であり、それより大きな距離rでは(5−9)式の影響で磁場の絶対値は大きくなり、
で発散しそれ以上の領域ではゼロとなります。
このような発散があらわれたのは電流の時間変化を(5−4)式のような時間に対して不連続関数を仮定したからであり連続な関数を使えば避けられますがこの付近で大きくなることは変わらないと思われます。
この様子はちょうど衝撃波が速度cで伝播しているのと似ています。波が到達するまでは磁場は存在しませんが、到着したとたん非常に強い磁場が発生しその後は徐々に定常な状態に落ち着いてゆきます。
雲や大地を流れる電流は定常状態を調べたときと同様この磁場に比例します。したがって、
の領域では電流は流れておらず、(5−11)式より内部ではまず大きな電流があり中心に向かって定常電流に近づきます。
従ってこの場合は伝導電流単独の連続条件は成立せず、大地と雲の間の変位電流によって連続条件が満たされることになります。
雷が落ちたとき地面に流れる地電流が危険だといわれますが、今回の計算でも非常に大きな電流が流れていることが分かります。
